页面版权所有 乐竞足球 鲁ICP备09070256号-1
乐竞足球
↵
走进诚汇
产品中心
生产研发
全球客户
人才招聘
联系我们
药厂业务:
沈经理 0531-58897066
廖经理 0531-58897055
贸易公司业务:
李经理 0531-58897086
唐经理 0531-58897051
黄经理 0531-58897087
任经理 0531-58897165
您现在的位置:
注册品种
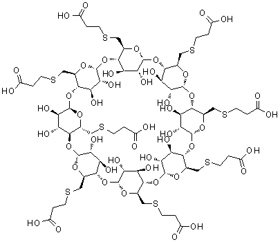
产品名称:舒更葡糖钠
中文别名:舒更葡糖钠杂质;舒更葡糖钠(API);舒更葡糖钠标准品001;苏格玛酯钠盐;SUGAMMADEX 钠盐;舒更葡糖钠;舒更葡萄钠;SUGAMMADEX SODIUM舒更葡糖钠
英文名称:Sugammadex sodium
英文别名:ORG-25969/SugaMMadex;SugammadexNa;ORG;SugammadexIMP;Sugammadexsoidum343306-79-6;SugammadexsodiumiMpurity;6A,6B,6C,6D,6E,6F,6G,6H-octakis-S-(2-Carboxyethyl)-6A,6B,6C,6D,6E,6F,6G,6H-octathio-γ-cyclodextrinSodiumSalt;SugammadexSodiumsalt
CAS号:343306-79-6
分子式:C72H104Na8O48S8
分子量:2177.97
EINECS号:200-838-9
性状:结晶固体
产品用途:用作医药中间体
产品规格:1kg/桶,2kg/桶,5kg/桶,10kg/桶,15kg/桶,20kg/桶,25kg/桶等,可根据客户要求单独分包
产品价格:标价仅供参考、来电一对一报价
优势产品
诚汇医药:沃诺拉赞及中间体,达格列净及中间体,克立硼罗及中间体,来特莫韦及中间体,米屈肼,兽药产品系列(氟雷拉纳中间体、阿福拉纳及沙罗拉纳等中间体),盐酸罗哌卡因及中间体,局麻系列(盐酸利多卡因、利多卡因,盐酸丙胺卡因,丙胺卡因,盐酸丁卡因等)等,涵盖局麻类用药、抗病毒类用药、心脑血管系统用药、抗肿瘤类用药、消化道类用药、糖尿病类用药、兽药等领域。源头工厂直供、以高质量产品、合理价格、快速交货和贴心的售后服务为主要优势,支持订制。
欢迎您随时通过电话、QQ、微信、邮件等任意方式联系我们,竭诚为您服务
分子结构: